Prof. Dr. Hideki Yukawa > Research Profile
by Roberto Lalli
Hideki Yukawa
Nobel Prize in Physics 1949
"for his prediction of the existence of mesons on the basis of theoretical work on nuclear forces".
The theoretical physicist Hideki Yukawa was the first Japanese citizen to be awarded a Nobel Prize. His main contribution to physics was the introduction of the meson theory of strong nuclear forces in 1935. Yukawa’s theory was a momentous step ahead in the research on the fundamental interactions governing the dynamics of particles inside the nucleus. The novel approach he introduced - embodied by the conception of a new, previously unobserved, particle as a mediator of a fundamental force - set the stage for further theoretical developments eventually leading to the Standard Model of elementary particles. Yukawa’s contribution to physics, however, was not limited to this creative act. He established a new school of theoretical physics in Japan that, within a few years hosted a large number of high quality researchers. Yukawa, indeed, is credited as one of the fathers of contemporary Japanese theoretical physics along with his contemporary Sin-Itiro Tomonaga, who shared with J. Schwinger and R. Feynman the 1965 Nobel Prize in Physics “for their fundamental work in quantum electrodynamics, with deep-ploughing consequences for the physics of elementary particles.” Along the lines of research sparked by the works of Yukawa and Tomonaga, it is possible to list Yoichiro Nambu (2008 Nobel Prize in Physics “for the discovery of the mechanism of spontaneous broken symmetry in subatomic physics”), and Makoto Kobayashi and Toshihide Maskawa (who shared with Nambu the 2008 Nobel Prize in Physics “for the discovery of the origin of the broken symmetry which predicts the existence of at least three families of quarks in nature”), to name only those few Japanese physicists who were awarded the Nobel Prize for their works on theoretical elementary particle physics. The Nobel Prize awarded to Yukawa in 1949 was a prestigious international recognition for the relevant contributions of the flourishing Japanese theoretical physics. This event served as an encouragement for an entire national scientific community after the terrible defeat in World War II and gives a hint of the social impact of the Nobel Prize, which is unanimously considered as the greatest reward for scientific endeavours.
Training in Japan
Hideki Ogawa (this was his original name) was born on January 23rd, 1907, in Tokyo, into a family of scholars coming from samurai tradition. In 1908, his father Takuji Ogawa - a geologist with a strong interest in the ancient history of China and Japan - became Professor of Geology at the Imperial University of Kyoto, where Yukawa graduated in physics in 1929 and began his academic career as an unpaid assistant. In Kyoto, Yukawa also got married to Sumi Yukawa, and changed his surname, adopting that of his wife. Although Yukawa is credited as the originator of the Japanese tradition of theoretical physics and his work is described as “a flower in the desert,” this view does not do justice to the progress in physics made in Japan in the early 20th century. A number of Japanese physicists had already made their name in Europe and contributed significantly to the development of physics. In particular, Yoshio Nishina had become famous for having elaborated in 1929, along with O. Klein, the formula of the differential cross section of photons scattered by an electron. In 1931, Nishina had established in Tokyo his own Laboratory at the Institute of Physical and Chemical Research (Riken), which from then on became one of the major research facilities for physics in Japan. Yukawa, however, was the first eminent Japanese physicist to have completed his training without leaving his motherland. Yukawa described his efforts to cope with the new quantum mechanics in his autobiography Tabibito(The Traveler) and made it clear that he and Tomonaga had to struggle to understand the new physics by themselves. The fact that Yukawa and Tomonaga had been entirely educated in Japan was a further cause of pride for the Japanese physics community when both of them were awarded the Nobel Prize for their accomplishments. In 1933, Yukawa was appointed lecturer at the newly established Osaka Imperial University, whose strong Physics Department was a stimulating environment with an approach to research very different from the traditional one shaping the scholarly life at Kyoto Imperial University. In Osaka, Yukawa found the right place to develop his original ideas and, in 1935, published the paper on the meson theory of nuclear forces, inaugurating the research stream that gained him the Nobel Prize fourteen years later.
Making Sense of the Nucleus: a New Particle, a New Force
Up to the early 1930s, physicists interpreted nature on the base of two fundamental forces: gravitational and electromagnetic. All the interactions between particles were explained with such forces, the latter prevailing over the former at the atomic level. Similarly, the elementary constituents of matter were supposed to be just two: the electron and the proton. The nucleus was thought as an agglomerate of many protons and electrons that interacted through the electromagnetic force. Things changed completely in 1932, which has been christened the annus mirabilis of nuclear physics. The most relevant experimental event was the discovery of the neutron, which changed completely the view physicists had of atomic nuclei.
Chadwick’s discovery opened the era of nuclear physics and the first nuclear theory followed a few months later when Heisenberg conceived the first non-relativistic quantum mechanical model of the nucleus. Heisenberg assumed the existence of an attractive force between protons and neutrons based on the exchange of electrons. Heisenberg’s model included three different kinds of nuclear interaction: the strong attraction between a neutron and a proton (n-p interaction), the weaker attraction between two neutrons (n-n interaction) due to the exchange of two electrons, and the coulombic repulsive force between two protons (p-p interaction). Other theoretical physicists soon proposed different models for the attractive potential between nucleons following Heisenberg’s proposal. All these models were phenomenological; the authors developed a formula for the nuclear potential that aimed to explain the observed phenomena (such as spectra and cross-sections) without deriving it from a deeper mechanism. Apart from this methodological shortcoming, all these models had problems. The most disturbing concerned perhaps the relationship between the nuclear force that holds nucleons together and the experimental features of the β-decay. The continuity of the spectra of β-decays was problematic for two reasons. First, it suggested that quantum mechanical rules did not hold inside the nucleus, although they were extremely successful in explaining the features of atomic spectra. The second problem concerned the conservation laws inside the nucleus. β-decay spectra led to suppose that the conservation laws of energy and momentum were not valid at the nuclear level. In 1930, Pauli had tried to solve the second problem by timidly suggesting the existence of a particle of zero charge, spin ½, and small mass (possibly massless). To most physicists of the period, however, it was more acceptable to imagine that physical laws broke down at a particular scale than to postulate a new unobserved particle and Pauli’s proposal was coldly received. An important turning point in theoretical physics came at the end of 1933, when Enrico Fermi put forward a first quantum field theory of β-decay based on the existence of Pauli’s elusive particle, called “neutrino.” Fermi used the theoretical formalism of the “second quantization” developed mainly by Dirac and Jordan. According to this formalism, particles are the quanta of specific fields and Fermi then considered electrons and neutrinos as created together at the moment of the decay. Predictions based on Fermi’s theory seemed to confirm that the theory was on the right track and paved the way for the acceptance of the neutrino hypothesis. Theoretical physicists soon began speculating on the way in which a more general quantum field theory could be formulated to explain nuclear interactions between nucleons. It seemed natural to hypothesize that electrons and neutrinos were continually created inside the nucleus and that they carried the nuclear force holding the nucleons together. This hypothesis, however, turned out to be unsatisfying: The quantized interaction due to a pair of an electron and a neutrino was too weak to explain the strong force between nucleons.
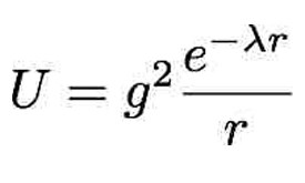
This was the context in which Yukawa began suggesting an alternative view by introducing a completely different particle as the carrier of the nuclear force. In October 1934, Yukawa came out with a very bold hypothesis: n-p interactions are mediated by a new unobserved particle whose mass was about 200 times the mass of the electron. He assumed that the n-p attractive force was described by a scalar field U, which interacted with nucleons causing the transition from neutron (or proton) state to proton (or neutron) state. From the wave equation of nuclear forces in vacuum, Yukawa derived that the nuclear potential that now bears his name was:

where λ is a constant corresponding to the inverse of the range of the nuclear forces, r is the distance between nucleons, and g is the nuclear coupling constant that has the dimension of a charge. In quantum field theory, a field always has an accompanying particle, and Yukawa introduced the charged “heavy quantum” that mediated such nuclear forces. The relationship between the mass of the particle and the range of the force was given by the formula:

where M is the mass of the new particle, h is Planck’s constant and c is the velocity of light in vacuum. From the known approximate range of the n-p interactions, Yukawa inferred that M was about 200 electron masses. Yukawa also tried to relate this theory to Fermi’s theory by hypothesizing that the negative (positive) heavy quantum had a small probability to decay into an electron (positron) and a neutrino-like particle, thus leading to the phenomenon known as β-decay.
The Reception of Yukawa’s Theory and its Later Vindication
Yukawa’s bold theory was published in 1935 in the Japanese journal Proceedings of the Physico-Mathematical Society of Japan and for two years it went completely unnoticed by Western physicists. This lack of interest was not only due to the fact that both the author and the journal were not part of mainstream physics. More subtly, most theoretical physicists did not find it methodologically acceptable to introduce a new unobserved particle to explain phenomena. The majority of physicists preferred to look for a revolutionary theory that could depart from quantum mechanics and violate the conservation laws. It was an experimental discovery that proved to be essential to the acceptance of Yukawa’s theory. In 1936-37, different experimental groups – notably, C. D. Anderson and S. Neddermeyer at Caltech - announced that their observations of cosmic rays demonstrated the existence of a new charged penetrating particle whose mass was greater than the electron’s, but smaller than the proton’s. Yukawa, among others, soon pointed out that such a particle had features very similar to Yukawa’s meson. Several physicists then assumed that the theoretical and the observed particle were one and the same, and many different names were suggested for such a particle (including meson, mesotron, yukon, and cosmon). For simplicity’s sake, in this research profile, the observed cosmic ray particle will be referred to as mesotron, while the theoretical entity will be called meson.
Beginning in 1937, theoretical physicists began working on an improved meson theory of nuclear forces that might explain the experimental features of the mesotron. Yukawa’s groundbreaking prediction was followed by a number of different meson theories of nuclear forces elaborated by many theoretical physicists in Europe, the United States, and Japan, where Yukawa and his collaborators continued to publish improved versions of the meson theory. This collective endeavour led physicists to clarify several problems affecting meson theories. The main difficulty was that the observed properties of the mesotron did not fit the theoretical features of the hypothetical meson. In particular, it turned out to be impossible to theoretically explain the observed mean lifetime and the small interactions between nuclei and mesotrons. The Second World War then almost entirely interrupted purely theoretical works unrelated to military efforts. In 1942, however, Yukawa’s former student and collaborator S. Sakata, along with T. Inoue, put forward a theory of two mesons by proposing that the mesotron was different from Yukawa’s meson, the former being a decay product of the latter. This hypothesis was the correct one: In 1947, the experimental group composed of C. F. Powell, G. Occhialini, C. Lattes, and others, observed tracks in their emulsion plates corresponding to two different mesons, one of which was the decay product of the other. The primary particle was christened π-meson (or, later, pion), where π stands for “primary,” and corresponded to Yukawa’s meson that carried the strong attractive force between nucleons. The secondary meson was called, instead, μ-meson (or; later, muon, which in modern theoretical particle physics is not classified as a meson, but as a lepton) and interacted only weakly with nuclei. This discovery was soon celebrated as the vindication of Yukawa theory. Just two years later, Yukawa received the 1949 Nobel Prize in Physics “for his prediction of the existence of mesons on the basis of theoretical work on nuclear forces.” The experimental discovery was also soon recognized as a fundamental achievement and gained Cecil Powell the 1950 Nobel Prize “for his development of the photographic method of studying nuclear processes and his discoveries regarding mesons made with this method.” It is rather unusual that two consecutive Nobel Prizes in Physics concern the same topic, one from the theoretical and the other from the experimental perspective. This suggests how important the meson theory of nuclear forces was considered to be in that period. Methodologically, Yukawa’s proposal was a great transformation in the way in which physicists dealt with fundamental models. Theoretical physicists followed Yukawa’s lines of thought in furthering the study of elementary interactions by proposing new unobserved particles as mediators of forces. This approach has been followed by many theoreticians and in a few decades led to the formulation of the Standard Model of particle physics.
Between Eastern and Western Cultures
After World War II, Yukawa tried to produce a coherent formalization of quantum electrodynamics (QED). In the 1940s, his friend Tomonaga, among others, had made major contributions by developing the renormalization techniques that allowed physicists to cut the terms leading to infinities in the perturbation theory and to solve successfully practical problems concerning electromagnetic interactions. Renormalization was internationally recognized as the successful method to deal with quantum field theories. Some physicists, however, did not appreciate this solution, and thought that it was just a way to go round the difficulties, not to solve them. Yukawa agreed with these critics and tried to formulate a new approach to QED based on the concept of nonlocal fields. Although this approach has had a scant influence on the evolution of theoretical physics, it shows that Yukawa continued to struggle for a deeper response to theoretical problems.
Yukawa did not have only an intellectual influence on the rise of theoretical physics in Japan, but he also played an active role in furthering the national community of theoreticians. In the immediate post-World War II period, Yukawa was doubtlessly the most influential Japanese theoretical physicist. Being aware of his role, in 1946 Yukawa began editing a journal in English language, Progress in Theoretical Physics, which was then, and for many years afterwards, the only journal devoted to theoretical physics. It soon became an influential journal where several important contributions were published, including the first English version of Sakata & Inoue’s two-meson theory. Moreover, Yukawa made an effort to recognize the influence of ancient Eastern culture in his intuition of the existence of the meson in the book Creativity and Intuition published in 1973. Yukawa considered himself to be a bridge between two different cultures and accepted his role throughout his life by testifying how he had combined the different traditions and how this interconnection proved to be successful.
Bibliography
Brown, L. M. (1981). Yukawa's Prediction of the Meson. Centaurus, 25: 71-132.
Brown, L. M. (2010). Nuclear Forces, Mesons, and Isospin Symmetry. In Brown, L., Pippard, B., & Pais, A. (Eds.). Twentieth Century Physics (Vol. 1). CRC Press, pp. 357-419.
Darrigol, O. (1988). The Quantum Electrodynamical Analogy in Early Nuclear Theory or the Roots of Yukawa's Theory. Revue d'histoire des sciences, 41: 225-297.
Kemmer, N. (1983). Hideki Yukawa. 23 January 1907-8 September 1981. Biographical Memoirs of Fellows of the Royal Society, 29: 661-676.
Mukherji, V. (1974). A History of the Meson Theory of Nuclear Forces from 1935 to 1952. Archive for History of Exact Sciences, 13: 27-102.